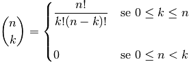
Il coefficiente binomiale è definito nel seguente modo:

dove n e k sono due numeri naturali.
Il coefficiente binomiale fornisce il numero di sottoinsiemi di k elementi che si possono formare dagli n elementi iniziali. I sottoinsiemi formati sono tali da differire per almeno un elemento e non per l’ordine degli elementi, nel calcolo combinatorio sono dette “combinazioni”.
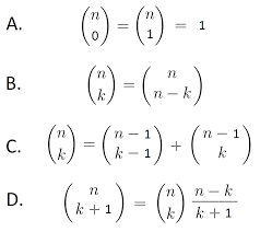
Il coefficiente binomiale ha le seguenti proprietà:

